6.4 模型评估
学习目标
- 知道模型评估中的SSE、“肘”部法、SC系数和CH系数的实现原理
1 误差平方和(SSE \The sum of squares due to error):
举例:(下图中数据-0.2, 0.4, -0.8, 1.3, -0.7, 均为真实值和预测值的差)

在k-means中的应用:


公式各部分内容:

上图中: k=2
- SSE图最终的结果,对图松散度的衡量.(eg: SSE(左图)<SSE(右图))
- SSE随着聚类迭代,其值会越来越小,直到最后趋于稳定:

- 如果质心的初始值选择不好,SSE只会达到一个不怎么好的局部最优解.

2 “肘”方法 (Elbow method) — K值确定

(1)对于n个点的数据集,迭代计算k from 1 to n,每次聚类完成后计算每个点到其所属的簇中心的距离的平方和;
(2)平方和是会逐渐变小的,直到k==n时平方和为0,因为每个点都是它所在的簇中心本身。
(3)在这个平方和变化过程中,会出现一个拐点也即“肘”点,下降率突然变缓时即认为是最佳的k值。
在决定什么时候停止训练时,肘形判据同样有效,数据通常有更多的噪音,在增加分类无法带来更多回报时,我们停止增加类别。
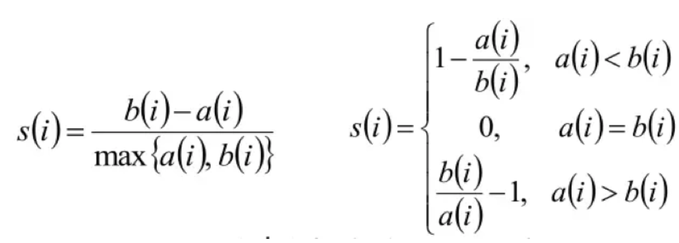
3 轮廓系数法(Silhouette Coefficient)
结合了聚类的凝聚度(Cohesion)和分离度(Separation),用于评估聚类的效果:

目的:
内部距离最小化,外部距离最大化

计算样本i到同簇其他样本的平均距离ai,ai 越小样本i的簇内不相似度越小,说明样本i越应该被聚类到该簇。
计算样本i到最近簇Cj 的所有样本的平均距离bij,称样本i与最近簇Cj 的不相似度,定义为样本i的簇间不相似度:bi =min{bi1, bi2, ..., bik},bi越大,说明样本i越不属于其他簇。
求出所有样本的轮廓系数后再求平均值就得到了平均轮廓系数。
平均轮廓系数的取值范围为[-1,1],系数越大,聚类效果越好。
簇内样本的距离越近,簇间样本距离越远
案例:
下图是500个样本含有2个feature的数据分布情况,我们对它进行SC系数效果衡量:

n_clusters = 2 The average silhouette_score is : 0.7049787496083262
n_clusters = 3 The average silhouette_score is : 0.5882004012129721
n_clusters = 4 The average silhouette_score is : 0.6505186632729437
n_clusters = 5 The average silhouette_score is : 0.56376469026194
n_clusters = 6 The average silhouette_score is : 0.4504666294372765
n_clusters 分别为 2,3,4,5,6时,SC系数如下,是介于[-1,1]之间的度量指标:
每次聚类后,每个样本都会得到一个轮廓系数,当它为1时,说明这个点与周围簇距离较远,结果非常好,当它为0,说明这个点可能处在两个簇的边界上,当值为负时,暗含该点可能被误分了。
从平均SC系数结果来看,K取3,5,6是不好的,那么2和4呢?
k=2的情况:

k=4的情况:

n_clusters = 2时,第0簇的宽度远宽于第1簇;
n_clusters = 4时,所聚的簇宽度相差不大,因此选择K=4,作为最终聚类个数。
4 CH系数(Calinski-Harabasz Index)
Calinski-Harabasz:
类别内部数据的协方差越小越好,类别之间的协方差越大越好(换句话说:类别内部数据的距离平方和越小越好,类别之间的距离平方和越大越好),
这样的Calinski-Harabasz分数s会高,分数s高则聚类效果越好。

tr为矩阵的迹, Bk为类别之间的协方差矩阵,Wk为类别内部数据的协方差矩阵;
m为训练集样本数,k为类别数。

使用矩阵的迹进行求解的理解:
矩阵的对角线可以表示一个物体的相似性
在机器学习里,主要为了获取数据的特征值,那么就是说,在任何一个矩阵计算出来之后,都可以简单化,只要获取矩阵的迹,就可以表示这一块数据的最重要的特征了,这样就可以把很多无关紧要的数据删除掉,达到简化数据,提高处理速度。
CH需要达到的目的:
用尽量少的类别聚类尽量多的样本,同时获得较好的聚类效果。
5 小结
- sse【知道】
- 误差平方和的值越小越好
- 肘部法【知道】
- 下降率突然变缓时即认为是最佳的k值
- SC系数【知道】
- 取值为[-1, 1],其值越大越好
- CH系数【知道】
- 分数s高则聚类效果越好
- CH需要达到的目的:用尽量少的类别聚类尽量多的样本,同时获得较好的聚类效果。